Research Article
누에콩 단백질과 지방 대체재와 transglutaminase를 활용한 저지방 모델 소시지의 이화학적 특성 평가
박채빈
1
, 진구복
1,*
Evaluation of physicochemical properties of low-fat model sausages with Faba bean protein isolate and Faba bean protein with transglutaminase
Chae Bin Park
1
, Koo Bok Chin
1,*
1Department of Animal Science, Chonnam National University, Gwangju 61186, Korea
*Corresponding author : Koo Bok Chin. Department of Animal Science, Chonnam National University, Gwangju 61186, Korea. Tel: +82-62-530-2121, Fax: +82-62-530-2129, E-mail:
kbchin@jnu.ac.kr
© Copyright 2025 Korean Society for Food Science of Animal Resources. This is an Open-Access article distributed under the terms of the
Creative Commons Attribution Non-Commercial License (http://creativecommons.org/licenses/by-nc/4.0/) which permits
unrestricted non-commercial use, distribution, and reproduction in any
medium, provided the original work is properly cited.
Received: Jun 02, 2025; Revised: Jun 25, 2025; Accepted: Jun 27, 2025
Published Online: Nov 30, 2025
Abstract
This study was performed to evaluate physicochemical and textural properties of low-fat sausages with the addition of various types of fat replacers at 1.0% for the replacement of pork fat. pH was higher (p<0.05) in the Faba bean protein isolate (FPI)-treatment compared to other treatments, while CIE a* increased (p<0.05) in all treatments (p<0.05). Hardness and springiness increased with the addition of Soy bean protein isolate (SPI) and FPI, further improved with both Transgluataminase (TG) was FPI. Gumminess and chewiness was higher in the treatments with both FPI and TG (p<0.05) than any others, while cohesiveness didn’t different among groups. Cooking losses (%) and expressible moisture (%) values were higher in the control rather than the treatments (p<0.05). In conclusion, fat replacers improved water retention for the manufacture of low-fat meat products, while SPI and FPI enhanced the textural properties. Furthermore, the addition of 1.0% TG powder in combination with FPI improved texture and water holding capacity, making it better products of low-fat meat products as compared to those without fat replacers.
Keywords: fat replacer; Vicia faba; transglutaminase; low-fat model sausage
서 론
‘식육가공품’이란 필수아미노산이 풍부하며, 아미노산 조성이 인간의 몸을 구성하는 근육 단백질의 아미노산 조성과 유사한 돼지고기, 소고기 및 닭고기를 원료로 하여 염지, 분쇄 및 세절, 건조 등의 공정을 거쳐 가공한 것으로 기호성이 높고 간편하게 단백질을 섭취할 수 있다는 장점을 가진다. 소시지와 같은 육가공품의 제조 시에는 지방을 첨가하는 것이 대부분인데, 한국소비자원의 조사에 따르면 식육가공품의 지방 함량은 ‘일반햄(15.8%–23.0%), 캔햄(16.1%–27.9%), 소시지(19.8%–25.9%)’로 이는 원료육 도체의 지방함량 편차를 감안하더라도, 상당히 높은 수준으로 확인된다(Korea Consumer Agency, 2017). 또한 FAO와 WHO에 따르면 포화지방이 많이 포함된 가공육의 과도한 섭취는 관상동맥계 질환의 원인이 될 수 있으며, 이에 따라 현재 육류 산업에서는 동물성 지방을 식물성 지방으로 대체하거나, 하이드로 콜로이드를 활용하여 3D 젤을 만드는 것과 같이 지방 대체재 연구에 초점을 맞추고 있다(Ayuso et al., 2025).
육제품에서 지방을 제거하면 소비자들이 요구하는 부드러운 저작감과 같은 식감에 영향을 미치게 된다. 이를 보완하기 위해서 하이드로콜로이드와 같은 대체물질을 추가하거나 다양한 종류의 식이섬유를 추가하는 등 다양한 연구가 진행되고 있으며(Chin and Choi, 2001; Chin and Chung, 2002), Choi와 Chin(2002)의 연구결과에 따르면 곤약분말과 카라기난 및 대두 단백질의 복합 지방대제재의 첨가가 단일 지방 대체재에 비하여 기능성을 높이며 유화형 소시지와 가장 흡사하다고 보고하였다. 대두 단백질은 단백질 함량이 높고, 보수성과 겔화가 잘 된다는 특성을 가지고 있어서(Kyriakopoulou et al., 2021; Lopes-da-Silva and Monteiro, 2019) 육가공품 분야와 더불어 다양한 식품 분야에서 사용되고 있지만, 면역체계가 과도하게 반응하여 생명에 지장이 있는 Anaphylaxis와 같은 다양한 알러지 반응(Ballmer-Weber et al., 2007)으로 세계적으로 문제가 되고 있기 때문에 이를 보완할 수 있는 식물성 단백질 원료에 대한 추가적인 연구가 필요하다.
‘파바콩(Vicia faba)’은 북아프리카 원산으로 전세계에서 재배되며 ‘잠두’라고도 불리며 파바빈이라 불리는 단백질 함량이 27.6%로 병아리콩(19.53%), 렌틸콩(22.15%)을 포함한 콩과류에 비해 비교적 높고(Martineau-Côté et al., 2022; Raikos et al., 2014), 건조 과정을 통해 단백질을 분리할 경우 단백질 함량이 약 70%에 달한다(Schutyser et al., 2015). 주로 globulin(55%–60%), albumin(20%), glutelin(15%), prolamine(8%)의 네가지 종류의 단백질로 구성되며 비타민과 미네랄이 풍부하며 저지방이라는 특징을 가진다(Rahate et al., 2021). 뿐만 아니라 파바콩은 페놀성 화합물, 식이섬유(Karataş et al., 2017), 비단백질 아미노산, 생리활성 펩타이드가 포함된 건강 증진 효과를 보인다. Kim과 Chin(2024)의 연구에 따르면 돼지고기 근원섬유에 1 kg 당 10 g 이상의 파바콩 분말을 첨가했을 때 겔 강도와 보수력이 증가하였으며, 파바콩 농축물과 귀리 섬유 농축물을 혼합하여 사용하였을 때, 결합제 역할을 하여 유용하다고 보고되었다(Ramos-Diaz et al., 2022).
Transglutaminase(TG)는 단백질내에 결합된 글루타민 잔기의 γ-카복시아마이드 그룹과 특정 단백질 내 라이신 잔기의 ε-아미노 그룹을 포함한 다양한 1차 아민 사이에서 아실 전달 반응을 촉매하는 효소이다. TG는 단백질 용해도, 경도 및 탄력성과 보수력을 증진시킨다는 특성을 지니기 때문에(Chin et al, 2009; Lee and Chin, 2010), 수산물, 어육, 유가공, 육가공제품과 같이 넓은 범위에서 사용되고 있다(Gauche et al., 2008; Trespalacios and Pla, 2007). 따라서 본 연구는 돼지 등지방 5%와 지방대체재의 상호작용을 평가하고, 분리대두단백을 참고하여 파바콩 단백질의 지방 대체재로써의 효과를 실험하고 파바콩 단백질과 TG복합첨가 했을 때의 효과를 확인하기 위해 본 연구가 진행되었다.
재료 및 방법
모델 소시지 제조
모델 소시지의 제조는 Table 1의 배합비에 따라 제조하였다. 대조구(CTL)에는 돼지 등지방이 단독으로 5% 첨가되었으며, 대조구(CTL)를 제외한 모든 처리구에 돼지 등지방 5%와 곤약 분말과 카라기난을 1:1 비율로 혼합 후 증류수와 1:9 비율로 수화한 지방 대체재 1.0%를 동일하게 복합 첨가하였다. 돼지 등지방과 지방 대체재만 첨가한 처리구를 참조구(REF), 단백질 함량이 약 90%인 분리대두(Soy Protein Isolate, SPI)를 1% 첨가하는 처리구(SPI)와 동일하게 Faba bean protein isolate(FPI, 90% 단백질)을 1% 첨가한 처리구를 제조하였다(FPI). 또한 FPI를 단독 첨가하는 것과 TG분말을 복합 첨가하였을 때 나타나는 모델 소시지의 특성을 비교하기 위해 FPI를 1% 첨가한 처리구에 TG분말을 1% 복합 첨가한 처리구(FPTG)를 제조하였다. 결체 조직이 제거된 돈육 뒷다리살 부위와 배합비에 따른 첨가물을 넣고 믹서(HMC-401, Hanil Electric, Seoul, Korea)를 이용하여 30초씩 약 4회 균질 한 후 모델 소시지 반죽은 50 mL conical tube에 40 g씩 주입하고 기공을 제거하기 위해 원심분리기(VS-5500, Vision Science, Daejeon, Korea)에서 약 1,700×g 조건으로 2분동안 원심분리한 후, 75°C 온도의 항온수조(WB-22, Daihan Scientific, Seoul, Korea)에서 중심부 온도가 72°C가 될 때까지 가열하고, 가열이 끝나면 conical tube에 담긴 채로 모델 소시지를 얼음 속에 넣어 급속 냉각을 한 후 4°C 냉장고에 저장하며 실험을 진행하였다.
Table 1.
The formulation of low-fat model sausages with fat replacers and faba protein isolate added alone or combination with transglutaminase
|
Ingredients (%) |
Treatments1)
|
|
CTL |
REF |
SPI |
FPI |
FPTG |
|
Meat |
60.00 |
60.00 |
60.00 |
60.00 |
60.00 |
|
Fat |
5.00 |
5.00 |
5.00 |
5.00 |
5.00 |
|
Water |
33.04 |
33.04 |
33.04 |
33.04 |
33.04 |
|
Ice water |
33.04 |
24.04 |
24.04 |
24.04 |
24.04 |
|
Hydrate water |
0.00 |
9.00 |
9.00 |
9.00 |
9.00 |
|
NMI |
1.96 |
2.96 |
3.96 |
3.96 |
4.96 |
|
Salt |
1.35 |
1.35 |
1.35 |
1.35 |
1.35 |
|
STPP |
0.40 |
0.40 |
0.40 |
0.40 |
0.40 |
|
Prague powder2)
|
0.16 |
0.16 |
0.16 |
0.16 |
0.16 |
|
Sodium erythorbate |
0.05 |
0.05 |
0.05 |
0.05 |
0.05 |
|
Konjac flour + carrageenan |
0.00 |
1.00 |
1.00 |
1.00 |
1.00 |
|
Soy protein isolate |
0.00 |
0.00 |
1.00 |
0.00 |
0.00 |
|
Faba bean protein isolate |
0.00 |
0.00 |
0.00 |
1.00 |
1.00 |
|
Transglutaminase (TG) |
0.00 |
0.00 |
0.00 |
0.00 |
1.00 |
|
Total |
100.00 |
101.00 |
102.00 |
102.00 |
103.00 |
Download Excel Table
저지방 소시지의 품질평가
pH 측정
고체용 pH-meter(340, Mettler-Toledo, Schwerzenbach, Switzerland)를 사용하여 모델 소시지의 pH를 5회 측정한 후 평균값을 구하여 평가하였다.
색도 측정
CIE Color Reader(CR-10, Minolta, Tokyo, Japan)를 사용하여 1.5 cm 두께로 잘린 시료의 단면을 각각 6회 측정하였다. 측정된 명도(CIE L*), 적색도(CIE a*), 황색도(CIE b*)의 값은 평균을 구하여 평가하였다.
가열감량(cooking loss; %)
가열 전과 가열 후 모델 소시지의 무게를 측정하고, 그 값의 차이를 아래의 식에 따라 구한 후 평균값을 구한 후 평가하였다.
유리수분(expressible moisture; %)
유리수분은 Jauregui 등(1981)의 방법에 따라 모델 소시지를 약 1.5 g의 직육면체 모양으로 자른 후, 1/4 크기의 여과지(Whatmann #3)로 감싸고, 50 mL conical tube에 넣은 후 원심분리기(VS-5500, vision Science, Daejeon, Korea)에서 1,700×g 조건으로 15분동안 원심분리 하였다. 원심분리 후, 여과지에 유리된 유리 수분량을 측정하고 다음의 계산식에 따라 유리수분량을 구하였다.
조직감(texture profile analysis)
조직감은 Bourne(1978)의 방법에 의하여 모델 소시지를 처리구당 10개씩 직경 1.25 cm, 높이 1.3 cm로 잘라 준비한 후 Universal Testing Machine(3344, instron Corporation, Norwood, MA, USA)를 이용하여 첫 번째 저작에서는 경도(hardness; gf), 응집성(cohesiveness; mm) 탄력성(springiness; mm)을 측정하고 두 번째 저작에서는 경도, 응집성, 탄력성을 곱한 값인 저작성(chewiness)과 경도와 응집성을 곱한 값인 검성(gumminess)을 측정하며, 이를 10번 측정한 값의 평균을 구한 후 평가하였다.
통계처리
본 연구는 SPSS software program(27.0, SPSS, Chicago, IL, USA)를 이용하여 지방 대체제와 파바콩 단백질을 단독 및 Transglutaminase와 복합 첨가한 저지방 모델 소시지의 이화학적 및 조직 특성을 분석하여 일원배치법(1-way ANOVA)으로 통계처리가 수행되었으며, 모든 데이터의 사후 분석은 Duncan’s multiple range test에 의해 검정하고, p<0.05의 수준에서 유의차를 나타내었다.
결과 및 고찰
지방 대체재와 파바콩 단백질을 단독 및 transglutaminase와 복합첨가한 저지방 모델 소시지의 품질분석
pH 및 색도
지방 대체재와 파바콩 단백질을 단독 및 transglutaminase와 복합첨가한 저지방 모델 소시지의 pH와 색도의 측정 결과는 Table 2와 같다. pH는 다른 처리구에 비해 FPI를 단독 첨가한 처리구만 유의적으로 높았다(p<0.05). 이는 Faba bean protein isolate를 제조하기 위해, 단백질을 추출하는 과정에서 알칼리성 용해과정을 거치기 때문으로 높아진 pH의 영향으로 사료된다(Dangi et al., 2022). 명도(CIE L*)는 유의적 차이를 보이지 않았으며(p>0.05), 적색도(CIE a*)는 돼지 등지방을 첨가한 대조구(CTL)를 제외한 모든 처리구에서 유의적으로 높게 측정되었다(p<0.05). 지방 대체재로 사용된 곤약분말과 카라기난을 수화시켰을 때, 반투명한 친수성 콜로이드구조를 형성하기 때문에 원료육과 함께 분쇄되는 과정을 거치는 과정에서 모델 소시지의 백색도가 상대적으로 증가한 것으로 사료된다. 이는 식용 오징어의 젤라틴을 1.5% 첨가한 칠면조 소시지에서 젤라틴이 물과 접촉하여 부피가 증가하고, 백색도에 의해 빛의 산란이 증가했기 때문에 CIE L*값이 증가했다는 이전 연구와 유사하다(Jridi et al., 2015). 또한 물질의 투명도가 증가하면 빛의 투과가 증가하고 산란이 감소한다는 물리학적 논리에 근거하여 결과적으로 지방 대체재가 첨가된 처리구가 대조구와 비교했을 때 적색도가 높게 측정된 것으로 판단된다. 황색도(CIE b*)는 대조구(CTL)에서 유의적으로 높은 값을 보였는데(p<0.05), 이는 등지방이 단독으로 첨가되었기 때문에 다른 처리구들과는 다르게 지방대체재의 영향을 받지 않아 황색도의 값이 상대적으로 높게 측정된 것이라 판단된다.
Table 2.
pH and color values of low-fat model sausages with fat replacers and faba protein isolate added alone or combination with transglutaminase
|
|
Treatment1)
|
|
CTL |
REF |
SPI |
FPI |
FPTG |
|
pH |
6.00±0.02b
|
6.13±0.08ab
|
6.07±0.00ab
|
6.25±0.16a
|
6.18±0.06ab
|
|
CIE L*
|
70.1±2.69a
|
70.2±0.64a
|
69.6±0.35a
|
68.8±1.63a
|
69.5±0.14a
|
|
CIE a*
|
6.36±0.23b
|
9.07±0.71a
|
9.15±0.53a
|
9.15±053a
|
8.70±0.45a
|
|
CIE b*
|
8.45±0.21a
|
7.38±0.39b
|
7.66±0.41b
|
7.32±0.05b
|
7.45±0.21b
|
Download Excel Table
가열감량
지방대체재로 사용한 단백질의 차이에 따른 가열감량을 측정한 결과는 Fig. 1에 나타나 있다. 대조구(CTL)는 지방대체재가 첨가되지 않아 가열조리로 인한 단백질 변성과 수분손실이 다른 처리구에 비해 비교적 크기 때문에 가열감량(%)이 높게 측정된 것을 확인할 수 있다. 이는 지방대체재로 사용된 곤약 분말과 카라기난의 수화력으로 인한 보수력 증진의 효과로 판단된다. 하지만 지방대체재에 따른 차이는 없었다. Setiaboma 등(2021)에 의하면 느타리 버섯 30.27%와 닭고기 15.13%를 혼합하여 제조한 제품에서 곤약 분말과 카라기난을 각각 0.34% 첨가하였을 때 가열감량이 11.34%, 12.17%의 값을 보였고, 이를 첨가하지 않은 대조구에서는14.72%를 보여 곤약 분말과 카라기난이 가열감량을 줄였다는 결과를 보고하였다. Feng 등(2024)의 연구에 따르면 transglutaminase(0.1%, 0.3%, 0.5%) 와 κ-carrageenan 0.2%를 단독 혹은 복합첨가하여 제조한 유화형 프랑크프루트 소시지의 가열감량을 측정한 결과 transglutaminase 0.1%와 κ-carrageenan 0.2%를 복합첨가한 처리구의 값이 1.83%로 가장 낮았고, κ-carrageenan을 단독으로 0.2% 첨가한 처리구의 값은 2.21%인 것으로 보아 TG의 효과를 추가적으로 확인할 수 있었지만, TG 0.5%를 첨가할 경우 가열감량이 증가하였다고 보고하였다.
Fig. 1.
Cooking loss (CL, %) of low-fat model sausages with fat replacers and faba protein isolate added alone or combination with transglutaminase. a,b Means with different superscripts on the bar are different (p<0.05). CTL, low-fat sausage (LFS); REF, LFS added with 1.0% fat replacer; SPI, REF added with 1.0% soy protein isolate; FPI, REF added with 1.0% faba bean protein isolate; FPTG, FPI added with Transglutaminase 1.0%.
Download Original Figure
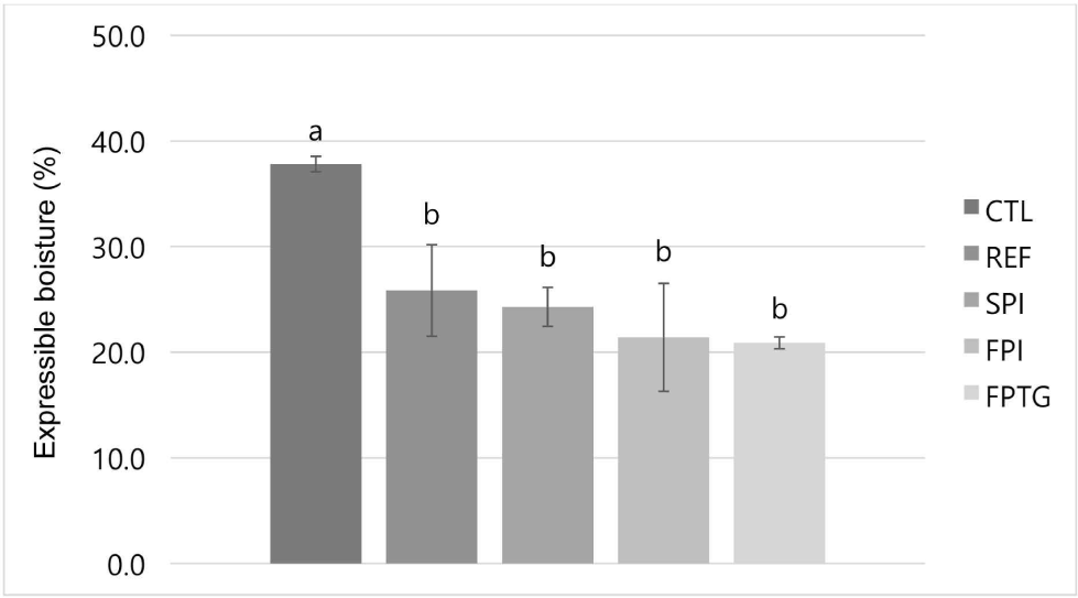
유리수분 함량
육제품의 보수력을 확인하기 위해 유리수분을 측정한 결과는 Fig. 2에 나타나 있다. 지방 대체재로써 곤약분말과 카라기난이 복합첨가된 처리구(REF, SPI, FPI, FPTG)에서 지방대체재가 첨가되지 않은 대조구(CTL)와 비교했을 때 유리수분의 값이 낮게 측정되었다(p<0.05). Majzoobi 등(2017)은 κ-carrageenan, konjac mannan, xanthan gum을 포함한 하이드로콜로이드를 대두단백질로 제조한 식물성 소시지에 농도별(0.3%, 0.6%, 1.0%, 1.5%)로 첨가하였을 때, 1.5% κ-carrageenan첨가구에서 유리수분이 가장 낮은 값을 기록했다고 보고하였다. 또한 FPI를 단독 첨가한 처리구(FPI)와 TG 1.0%를 복합 첨가한 처리구(FPTG)의 값을 비교하였을 때, TG를 복합첨가한 처리구에서 유리수분을 0.5%가량 줄일 수 있었고, 이는 FPI와 TG 1.0%가 복합적으로 첨가되어 TG의 가교결합으로 인해 단백질 네트워크가 단단하게 형성되고 유리된 수분을 FPI가 효과적으로 흡수하여 보수력이 향상된 결과로 판단된다. Ouyang 등(2021)의 이전 연구결과에서 TGase를 처리한 myofibrillar and wheat gluten gel(MP/WG)의 특성 연구에 따르면, 대조군에 비하여 0–120 U/g범위의 TGase처리는 TGase를 사용하지 않은 대조군에 비해 MP/WG 겔의 보수력을 증가시켰으며, TGase 농도가 90 U/g일 때 보수력이 최댓값인 66%를 보였다고 보고하였다.
Fig. 2.
Expressible moisture (EM, %) of low-fat model sausages with fat replacers and faba protein isolate added alone or combination with transglutaminase. a,b Means with different superscripts on the bar are different (p<0.05). CTL, low-fat sausage (LFS); REF, LFS added with 1.0% fat replacer; SPI, REF added with 1.0%soyprotein isolate; FPI, REF added with 1.0% faba bean protein isolate; FPTG, FPI added with Transglutaminase 1.0%.
Download Original Figure
조직감
지방 대체재와 파바콩 단백질분말(FPI)을 단독 및 Transglutaminase와 복합첨가에 따른 저지방 모델 소시지의 조직감 측정 결과는 Table 3와 같다. 경도(hardness)는 SPI와 FPI를 첨가하였을 때 증가하였다(p<0.05). 또한 파바콩을 단독 첨가한 처리구(FPI)와 FPI와 TG를 복합 첨가한 처리구(FPTG)를 비교하였을 때, 경도(hardness)가 추가적으로 증가하였는데(p<0.05), 이는 TG를 1.0% 첨가한 결과 단백질 구조가 더욱 단단하게 Lyisne과 glutamine 사이에 가교결합이 형성되어 경도가 증가한 것이라 판단된다. Tseng 등(2000)은 저염 닭고기 미트볼에 TG를 다양한 농도별로(0%, 0.05%, 0.1%, 0.2%, 0.4%) 첨가하고 주사 전자 현미경(SEM)으로 관찰한 결과, TG첨가량이 증가함에 따라 더 단단하고 규칙적인 겔 구조를 보인다 보고하였으며, 젤라틴에 TG를 첨가하였을 때 경도가 증가한다는 Calvarro 등(2016)의 연구결과와 유사하였다. 탄력성(springiness)은 파바콩 단백질과 TG를 1.0% 첨가한 처리구(FPTG)에서 유의적으로 높은 값을 보였고(p<0.05), 이는 도토리 분말을 지방대체재로 사용하였을 때, 보수성이 유지됨에 따라 다즙성과 탄력성이 향상되었다는 Chin과 Ban(2008)의 결과와 유사하게 가열감량과 유리수분의 값이 낮아 보수성이 좋은 파바콩과 TG의 복합첨가구에서 탄력성이 높은 것을 확인할 수 있었다. 검성은 파바콩과 지방대체재를 복합첨가한 것이 대조구나 지방대체재를 단독으로 첨가한 처리구에 비하여 높게 나타났다. 저작성(chewiness)은 TG를 첨가한 처리구(FPTG)에서 다른 처리구(CTL, REF, SPI, FPI)와 비교하여 유의적으로 높은 값을 보였고(p<0.05), 이는 TG를 1.0% 첨가한 처리구(FPTG)의 경도와 탄력성이 유의적으로 높은 값을 보인 결과라고 판단된다. 응집성(cohesiveness)은 각 처리구별 차이를 보이지 않았는데, 이는 돼지 등지방과 지방대체재가 복합적으로 첨가된 결과로 보수력이 높아지지만 모델 소시지 내부에 함유하고 있는 많은 수분으로 인해 조직이 연해지기 때문에 응집성이 낮아진 결과로 판단된다.
Table 3.
Texture profile analysis of low-fat model sausages with fat replacers and faba protein isolate added alone or combination with transglutaminase
|
|
Treatment1)
|
|
CTL |
REF |
SPI |
FPI |
FPTG |
|
Hardness (gf) |
2637±119c
|
3547±375bc
|
3715±422b
|
3859±214b
|
5,246±615a
|
|
Springiness (mm) |
4.16±0.16b
|
3.85±0.21b
|
4.08±0.06b
|
4.27±0.28b
|
5.00±0.02a
|
|
Gumminess |
25.8±1.80b
|
33.6±1.29b
|
36.6±1.16ab
|
35.2±0.82ab
|
47.6±11.21a
|
|
Chewiness |
106.8±12.8b
|
129.4±10.5b
|
149.0±2.2b
|
148.8±13.9b
|
235.0±59.8a
|
|
Cohesiveness |
0.01±0.00a
|
0.01±0.00a
|
0.01±0.00a
|
0.01±0.00a
|
0.01±0.00a
|
Download Excel Table
요 약
본 연구는 지방 대체재의 첨가 유무와 종류에 따라 5개의 처리구가 설정되었고(CTL, REF, SPI, FPI, FPTG), 지방 대체재는 곤약 분말과 카라기난을 동일 비율로 수화 후 1% 첨가하였으며, SPI와 FPI, TG 모두 1% 첨가하였다. 이화학적 분석 결과 pH는 다른 처리구에 비해 FPI를 단독 첨가한 처리구만 유의적으로 높았고, 지방 대체재를 첨가한 처리구 모두 대조구와 비교했을 때 적색도가 높아졌으나, 황색도는 모두 낮아졌으며, 명도에서는 유의적 차이가 없었다. SPI와 FPI를 첨가했을 때, 조직감 중 경도와 탄력성이 증가하는 것을 볼 수 있었고, TG를 FPI와 복합으로 첨가한 결과 경도와 탄력성이 추가로 증가하였다(p<0.05). FPI와 TG를 복합 첨가한 처리구는 대조구 및 다른 처리구에 비해 검성과 저작성에서 유의적으로 높은 값을 보였다(p<0.05). 반면, 응집성에서는 유의적 차이가 없었다(p>0.05). 이러한 결과를 종합하면, 저지방 육제품에서 지방대체재는 보수력 증진에, 그리고 SPI와 FPI는 조직감 향상에 효과적임을 알 수 있다. 또한 FPI와 TG를 1.0% 복합 첨가함으로써 조직감과 보수력의 향상이 더욱 뚜렷하게 나타나 저지방 육제품의 제조 시 TG의 복합첨가가 콩단백질의 단독 첨가에 비하여 유용할 것으로 판단된다.
Acknowledgments
This study was supported by the National Research Foundation (NRF Project # RS-2023-00248528).
References
Ballmer-Weber BK, Holzhauser T, Scibilia J, Mittag D, Zisa G, Ortolani C, Oesterballe M, Poulsen LK, Vieths S, Bindslev-Jensen C. 2007. Clinical characteristics of soybean allergy in Europe: A double-blind, placebo- controlled food challenge study. J Allergy Clin Immunol 119:1489-1496.


Bourne MC. 1978. Texture profile analysis. Food Technol 32:62-66.
Calvarro J, Perez-Palacios T, Ruiz J. 2016. Modification of gelatin functionality for culinaryapplications by using transglutaminase. Int J Gastron Food Sci 5-6:27-32.

Chin KB, Ban GH. 2008. Evaluation of two levels and types of acorn powder on product quality of low-fat sausages as a fat replacer. J Anim Sci Technol 50:217-226.

Chin KB, Choi SH. 2001. Evaluation of the addition of sodium lactate and a fat replacer in very low-fat bologna (model system) on the product quality and shelf-life effect during refrigerated storage. J Korean Soc Food Sci Nutr 30: 858-864.
Chin KB, Chung BK. 2002. Development of low-fat meat processing technology using interactions between meat proteins and hydrocolloids-I optimization of interactions between meat proteins and hydrocolloids by model study. J Korean Soc Food Sci Nutr 31:438-444.

Choi SH, Chin KB. 2002. Development of low-fat comminuted sausage manufactured with various fat replacers similar textural characteristics to those with regular-fat counterpart. Korean J Food Sci Technol 34:577-582.
Dangi P, Chaudhary N, Paul A, Prabha S, Kumar R, Poonia A. 2022. Faba bean proteins: Extraction methods, properties and applications. In Bangar SP, Dhull SB (eds). Faba bean: Chemistry, properties and functionality. Springer, Cham, Germany. pp.245-273.

Feng Y, Liang X, Zhang J, Shi P, Cao C, Zhang H, Liu Q, Kong B. 2024. Underlying mechanisms and combined effects of transglutaminase and κ-carrageenan on the quality profiles and in vitro digestibility of frankfurters. Food Hydrocoll 147:109344.

Gauche C, Vieira JTC, Ogliari PJ, Bordignon-Luiz MT. 2008. Crosslinking of milk whey proteins by transglutaminase. Process Biochem 43:788-794.

Jauregui CA, Regenstein JM, Baker RC. 1981. A simple centrifugal method for measuring expressible moisture, a water-binding property of muscle foods. J Food Sci 46:1271.

Jridi M, Abdelhedi O, Souissi N, kammoun M, Nasri M, Ayadi MA. 2015. Improvement of the physicochemical, textural and sensory properties of meat sausage by edible cuttlefish gelatin addition. Food Biosci 12:67-72.

Karataş SÇ, Günay D, Sayar S. 2017.
In vitro evaluation of whole faba bean and its seed coat as a potential source of functional food components. Food Chem 230:182-188.


Lee HC, Chin KB. 2010. Application of microbial transglutaminase and functional ingredients for the healthier low-fat/salt meat products: A review. Food Sci Anim Resour 30:886-895.

Majzoobi M, Talebanfar S, Eskandari MH, Farahnaky A. 2017. Improving the quality of meat-free sausages using κ-carrageenan, konjac mannan and xanthan gum. Int J Food Sci Technol 52:1269-1275.

Rahate KA, Madhumita M, Prabhakar PK. 2021. Nutritional composition, anti-nutritional factors, pretreatments-cum- processing impact and food formulation potential of faba bean (
Vicia faba L.): A comprehensive review. LWT-Food Sci Technol 138:110796.

Schutyser MAI, Pelgrom PJM, van der Goot AJ, Boom RM. 2015. Dry fractionation for sustainable production of functional legume protein concentrates. Trends Food Sci Technol 45:327-335.

Setiaboma W, Kristanti D. 2021. Quality of physicochemical and sensory of mushroom (
Pleurotus ostreatus) chicken nuggets with carrageenan and konjac as hydrocolloids. IOP Conf Ser Mater Sci Eng 1011:012014.

Trespalacios P, Pla R, 2007. Simultaneous application of transglutaminase and high pressure to improve functional properties of chicken meat gels. Food Chem 100:264-272.
